Documento del Prof. Fontanella su neurochirurgia e ipertensione endocranica. Il Pdf esplora l'ipertensione endocranica, definendone cause, fisiopatologia e complicanze come risanguinamento, vasospasmo e idrocefalo, utile per lo studio universitario.
Mostra di più22 pagine


Visualizza gratis il Pdf completo
Registrati per accedere all’intero documento e trasformarlo con l’AI.
Comunicazioni: il professore consiglia di studiare prima la neurologia (clinica neurologica e semeiotica neurologica) e successivamente la neurochirurgia. Suggerisce come testo di riferimento, dal quale prende anche spunto la lezione, il manuale "Neurochirurgia in dieci lezioni, 2019 Edizioni Minerva Medica". Le parti in corsivo sono integrate dalle CO e dalle sbobine dell'anno precedente.
Il valore fisiologico della pressione all'interno della scatola cranica (ICP, intra-cranial-pressure) a livello dei ventricoli cerebrali è di 8-10 mmHg e varia a seconda della posizione del paziente (orto o clinostatismo). Se il soggetto si trova in piedi avrà all'interno dei ventricoli una pressione più bassa, se è in clinostatismo la sua pressione intracranica sarà invece più alta. Il valore della pressione intracranica può variare anche a seconda dell'età:
La condizione di ipertensione endocranica è definita come un aumento dell'ICP e può essere causata da una patologia espansiva endocranica, cioè da un qualsiasi aumento di volume, oppure può essere idiopatica.
Alla base c'è un aumento di volume di una delle tre componenti:
L'ipertensione endocranica idiopatica causa aumento di ICP in assenza di lesione occupante spazio o di idrocefalo, forse in relazione ad un'ostruzione del deflusso venoso; la composizione del liquido cerebrospinale è normale. In genere si verifica in donne in età riproduttiva4 e l'eziologia è sconosciuta, ma forse collegata ad un'ostruzione del deflusso venoso cerebrale, probabilmente perché i seni venosi sono più piccoli del normale. Per quanto riguarda la patogenesi, probabilmente l'obesità determina aumento della pressione addominale, che causa aumento della pressione venosa centrale, con diminuzione del riassorbimento a livello delle granulazioni del Pacchioni.
Nei bambini può svilupparsi dopo l'arresto della somministrazione di corticosteroidi o in seguito all'uso dell'ormone della crescita.
Può svilupparsi dopo l'assunzione di tetracicline o grandi quantità di vitamina A.
La scatola cranica, nell'adulto, è un contenitore inestensibile5, al cui interno e collocato l'encefalo.
Internamente sono presenti il tessuto nervoso, il sangue e il liquor: secondo la legge di Monro-Kelly, se uno di questi tre componenti aumentasse di volume, tale aumento verrebbe compensato da una corrispondente diminuzione degli altri due, altrimenti la pressione all'interno della scatola cranica aumenterebbe. I tre componenti occupano percentuali differenti di volume endocranico:
Processi espansivi di tipo tumorale, ematomi oppure lesioni traumatiche cerebrali comportano:
25 .4 5000 .4 133
Una volta che i meccanismi di compenso si sono esauriti, il volume aumenta e contestualmente anche la pressione. Se dovessimo, per esempio, avere un aumento di volume di un ematoma, le cisterne si vedrebbero meno, proprio come se il liquor venisse "spremuto" dal compartimento endocranico fino al canale spinale e anche i laghi venosi, e 1 1 mmHg = 13,59 mmH2O. 2 Le fontanelle sono ancora aperte e le suture non ancora saldate. 3 Causato anche dal tumore stesso. 4 Incidenza di 1/100000 nelle donne normopeso, di 20/100000 nelle donne in condizioni di obesità. 5 Dopo la chiusura delle suture.quindi i seni cerebrali, verrebbero ridotti di volume e quindi la pressione endocranica tenterebbe di mantenersi a livelli fisiologici.
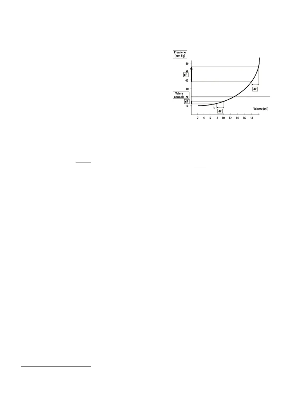
Quando si verifica un aumento di volume endocranico, nelle prime fasi, la pressione endocranica non varia molto e quindi l'aumento di volume porta ad un aumento della pressione endocranica molto ridotto: da 8 mmHg passerà a 10 mmHg, oppure da 10 mmHg passerà a 12 mmHg. In una fase successiva, quando si supera il valore di 20 mmHg di pressione endocranica6, un piccolo aumento di volume porta ad un aumento della pressione endocranica molto maggiore. Immaginando all'interno del cranio una lesione occupante spazio, come un ematoma, nei primi minuti e nelle prime ore non avremo un grande aumento della pressione endocranica, ma successivamente lo stesso aumento di volume porterà ad un aumento della pressione endocranica molto elevato.
Pressione (mm Hg) 60 50 dP 40 30 dV Valore normale 20 dp 10 Volume (ml) dV Quindi, nelle prime ore, il paziente avrà una condizione clinica buona, proprio perché non avrà una pressione endocranica "grave", ma poi 2 4 6 8 10 12 14 16 18 per uno stesso aumento di volume7 la ICP diventerà molto più elevata e il pazienta avrà la possibilità di presentare disturbi della coscienza e di andare in coma molto più precocemente. Sarà importante osservare molto frequentemente il paziente: magari nelle prime ore di osservazione starà bene, parlerà, camminerà, ragionerà, ma ad un certo punto, in un tempo molto breve, il paziente avrà dei disturbi della coscienza e andrà in coma. Tutto ciò ci serve per comprendere che il paziente andrà osservato ogni quarto d'ora/mezz'ora, quindi molto spesso.
La curva si sposta verso sinistra quando il volume aumenta in maniera molto rapida (ad esempio per un ematoma legato a una rottura di un'arteria cerebrale o meningea); invece, si sposta verso destra quando il volume aumenta in un arco temporale maggiore (ad esempio per un meningioma).
In entrambi i casi, se si ha un processo occupante spazio, inizialmente i meccanismi di compenso contrastano l'aumento di pressione intracranica, ma, quando si esauriscono, avviene un incremento della pressione, tanto più rapido quanto più velocemente il processo espansivo si va formando (ovvero quanto più velocemente i meccanismi di compenso si esauriscono).
Riassumendo, i punti fondamentali della Legge di Monro-Kelly sono i seguenti:
Le conseguenze dell'ipertensione endocranica sono di due ordini:
La quantità di sangue che arriva all'encefalo dipende dalla pressione di perfusione (PP)8, che corrisponde alla differenza tra il valore di pressione arteriosa media (MAP) e quello della pressione endocranica (ICP). Negli altri organi la pressione di perfusione corrisponde sostanzialmente alla pressione arteriosa media9. Per quanto riguarda l'encefalo la PP deve tenere conto anche della ICP, secondo la seguente relazione:
PP (pressione di perfusione) = MAP (pressione arteriosa media) - ICP (pressione intracranica).
In condizioni fisiologiche, la pressione di perfusione viene mantenuta intorno agli 80-100 mmHg. Tale valore è mantenuto all'interno di questo range, grazie al corretto funzionamento di meccanismi di autoregolazione. In condizioni patologiche, l'autoregolazione viene meno e la pressione di perfusione può seguire la pressione arteriosa media: ad esempio, se si ha uno shock ipovolemico e una pressione di perfusione di 40 mmHg, si presentano sequele ischemiche a carico del parenchima cerebrale (a volte anche irreversibili).
La pressione di perfusione cerebrale può diminuire non solo in caso di diminuzione della pressione arteriosa media, ma anche nel caso di un aumento isolato della pressione endocranica. Per comprendere meglio le due situazioni pensiamo, per esempio, al caso di un paziente che ha un infarto e la sua MAP si riduce moltissimo, ma la sua ICP è 6 Oltre il valore di 20 mmHg si può parlare già di ipertensione endocranica. 7 Per esempio 1 cc ogni quarto d'ora, oppure ogni mezz'ora. 8 "Perfusion pressure, PP". 9 "Mean arterial pressure, MAP".rimasta invariata e la sua pressione di perfusione quindi si riduce notevolmente. Viene eseguito un massaggio cardiaco e dopo un po' di tempo, anche se la pressione di perfusione cerebrale torna a valori normali, il sistema nervoso centrale e i neuroni non funzionano più e ciò accade a causa della riduzione della pressione arteriosa media.
Nel caso di un paziente con trauma cranico, oppure in caso di lesione espansiva cerebrale che dà aumento della ICP, si ridurrà molto la pressione di perfusione e quindi sarà ridotto anche l'apporto ematico che arriva all'interno del cranio e ciò fa sì che il cervello non possa più funzionare.
A parità di MAP, ogni aumento della ICP crea una parallela riduzione della PP e, in condizioni normali, la PP ha valori tali da mantenere il flusso cerebrale costante e sufficiente, anche in caso di sensibili variazioni della MAP.
L'apporto di ossigeno al tessuto nervoso dipende dal flusso ematico cerebrale10 (CBF), il cui valore normale è di circa 50-60 ml ogni 100g al minuto, con grandi variazioni tra sostanza grigia, più perfusa, e sostanza bianca, meno perfusa. Al di sotto del valore medio di 20 ml ogni 100g al minuto si ha uno stato di ischemia cerebrale.
L'autoregolazione dipende dalle resistenze vascolari: respirando infatti CO2, le resistenze vascolari si riducono, le arteriole si dilatano e quindi avremo un aumento del flusso ematico cerebrale, con aumento della pressione endocranica. Con l'autoregolazione del flusso cerebrale, a una diminuzione della PP corrisponde una riduzione delle resistenze vascolari (RES), in modo tale da mantenere inalterato il flusso ematico cerebrale. Quindi è valida la seguente relazione:
CBF = PP/RES = (MAP - ICP)/RES
Una pressione di perfusione superiore ai 40 mmHg è normalmente sufficiente a mantenere un flusso ematico cerebrale valido e, nel caso di una perdita dell'autoregolazione (come nel caso di un trauma cranico grave), il flusso cerebrale seguirà passivamente la pressione di perfusione.
L'autoregolazione sarà dunque la capacità dell'encefalo di mantenere il flusso ematico cerebrale costante. Se si riduce la pressione arteriosa media (per esempio quando fa molto caldo e il valore di MAP è intorno ai 70 su 40 mmHg) il cervello funzionerà comunque, perché il flusso ematico cerebrale potrà essere mantenuto costante. Tuttavia quest'autoregolazione può essere persa nel caso di lesioni cerebrali oppure di trauma cranico e ciò significa che il flusso ematico cerebrale segue le variazioni di pressione arteriosa media: se si alza la pressione ci sarà più flusso, se si abbassa la pressione ci sarà meno flusso e potranno verificarsi un'ipoperfusione o un'ischemia cerebrale. Anche se la pressione scendesse a 70 su 40 mmHg non avremmo un'ischemia cerebrale, ma se ci fosse un danno cerebrale di tipo traumatico potremmo avere perdita dell'autoregolazione e il flusso ematico cerebrale varierebbe in rapporto alla pressione arteriosa media.
Se riscontrassimo una pressione arteriosa ancora nei limiti inferiori di normalità non potremmo escludere la possibilità di un'ischemia generalizzata dell'encefalo, se si verificasse un aumento della ICP. In un paziente critico la soglia minima della pressione di perfusione per lo sviluppo di ischemia cerebrale è di 60-70 mmHg.
Quindi l'ipoperfusione cerebrale condurrebbe ad un'ischemia cerebrale e di conseguenza ad un danno cerebrale permanente.
Se c'è una buona pressione di perfusione cerebrale, mantenuta per esempio con l'uso di amine vasoattive (es. noradrenalina), ma si ha una pressione intracranica molto aumentata, si può aumentare la pressione di perfusione fino ad un certo punto. Quindi, se la pressione intracranica aumenta fino anche a 60 mmHg, la pressione di perfusione cala. In alcuni pazienti vittime di traumi cranici gravi, che presentano un rigonfiamento cerebrale, tramite un'angiografia cerebrale si può osservare che il flusso delle carotidi e delle vertebrali si arresta all'ingresso del cranio: la pressione intracranica è così alta che il sangue non riesce ad entrare nel compartimento endocranico. Questo fenomeno viene definito "segno di arresto di flusso" ed è un segno prognostico negativo (solitamente il paziente è in morte cerebrale).
Nel caso di un paziente con una grossa massa all'interno del cervelletto, quest'ultimo si sposterà verso il forame occipitale e verso l'incisura tentoriale e quindi ernierà nello spazio vicino, che però non gli compete. Comprimerà in tal modo delle strutture, dando una sintomatologia clinica che il medico dovrà riconoscere da un punto di vista neurologico. Il tentorio è posto orizzontalmente nella scatola cranica e definisce lo spazio sopratentoriale (cervello) e lo spazio sottotentoriale (cervelletto e tronco cerebrale), mentre la falce cerebrale divide lo spazio sopratentoriale in due metà (emisferi). Lo spazio sottotentoriale comunica in alto, attraverso la fessura del tentorio, con lo spazio emisferico e in basso, attraverso il forame magno cerebrale, con lo spazio rachideo.
La scatola cranica è divisibile in tre compartimenti che sono collegati ad un quarto, sottostante rispetto ad essa: emisferico destro, emisferico sinistro e fossa posteriore. Un processo di tipo espansivo che dovesse interessare inizialmente uno di questi compartimenti, creerebbe un aumento di pressione localizzato e di conseguenza un gradiente pressorio da questo al compartimento vicino, con la tendenza a spostare parte del contenuto cerebrale. Questo è alla base delle ernie cerebrali interne.