Slides from Giorgia Pellicanò - Laboratory of Cell Biology and Pathology about Scientific Research. The Pdf explores scientific research, publication, and patenting, detailing differences and requirements for each, with a focus on laboratory techniques for cell culture in Biology for University students.
See more59 Pages


Unlock the full PDF for free
Sign up to get full access to the document and start transforming it with AI.
Scientific Research The main aim of scientific research is to increase the knowledge. Journals and other media are a way to read scientific research.
In publishing, you have to have an idea, do research about it and, if you have a good result, you can write your discovery and, at the end, your discovery is published. Reasons for publishing:
I can decide between a publication/paper of my discovery or a patent(= way to protect my discovery). The publication excludes the patent.
publication patent
The author list: THE AUTHOR LIST: GIVING CREDIT WHERE CREDIT IS DUE
The first author Senior grad student on the project. Made the figures.
The third author First year student who actually did the experiments, performed the analysis and wrote the whole paper. Thinks being third author is "fair".
The second-to-last author Ambitious assistant pro- fessor or post-doc who instigated the paper.
Michaels, C., Lee, E. F., Sap, P. S., Nichols, S. T., Oliveira, L., Smith, B. S. JORGE CHAM ( 2005
The second author Grad student in the lab that has nothing to do with this project, but was included because he/she hung around the group meetings (usually for the food).
The middle authors Author names nobody really reads. Reserved for undergrads and technical staff.
The last author The head honcho. Hasn't even read the paper but, hey. he got the funding, and his famous name will get the paper accepted.
Journals decide if publishing your story or not on the basis of: how new is your discovery, if there are similar discoveries, ...
A patent is a legal protection which gives an inventor the right to exclude others from performing certain activity in the country of issuance. This results in a sanctioned monopoly for a set number of years in exchange for disclosure to the public
What Can Be Patented? It must be: Novel: not previously known or used by others
> Useful: have a known use or produce a concrete and tangible result
> Non-obvious:
Giorgia Pellicano - Laboratory of Cell Biology and Pathology 2023/24 1 -- Can not be found in a single or reasonable combination of patents that would yield a predictable result
Can not be:
We studied something and we tried to write it, then I chose a journal that would publish my discovery. The journal decides if he likes it or not. If the journal doesn't like it, you have to write it again, but if the journal likes it, your manuscript can be read by peer reviewers, who give feedback to the editor. After peer reviewers' revision, the journal can publish your manuscript. This way usually takes months or years. Another way to publish is to deposit my manuscript into a repository. This way is more risky, but faster. Many scientists could read your manuscript from the repository and propose to collaborate with you on your discovery.
A journal IMPACT FACTOR for a particular year is: the total number of times its articles were cited during the two previous years TO(=diviso) the total number of citable articles in the journal during those two years.
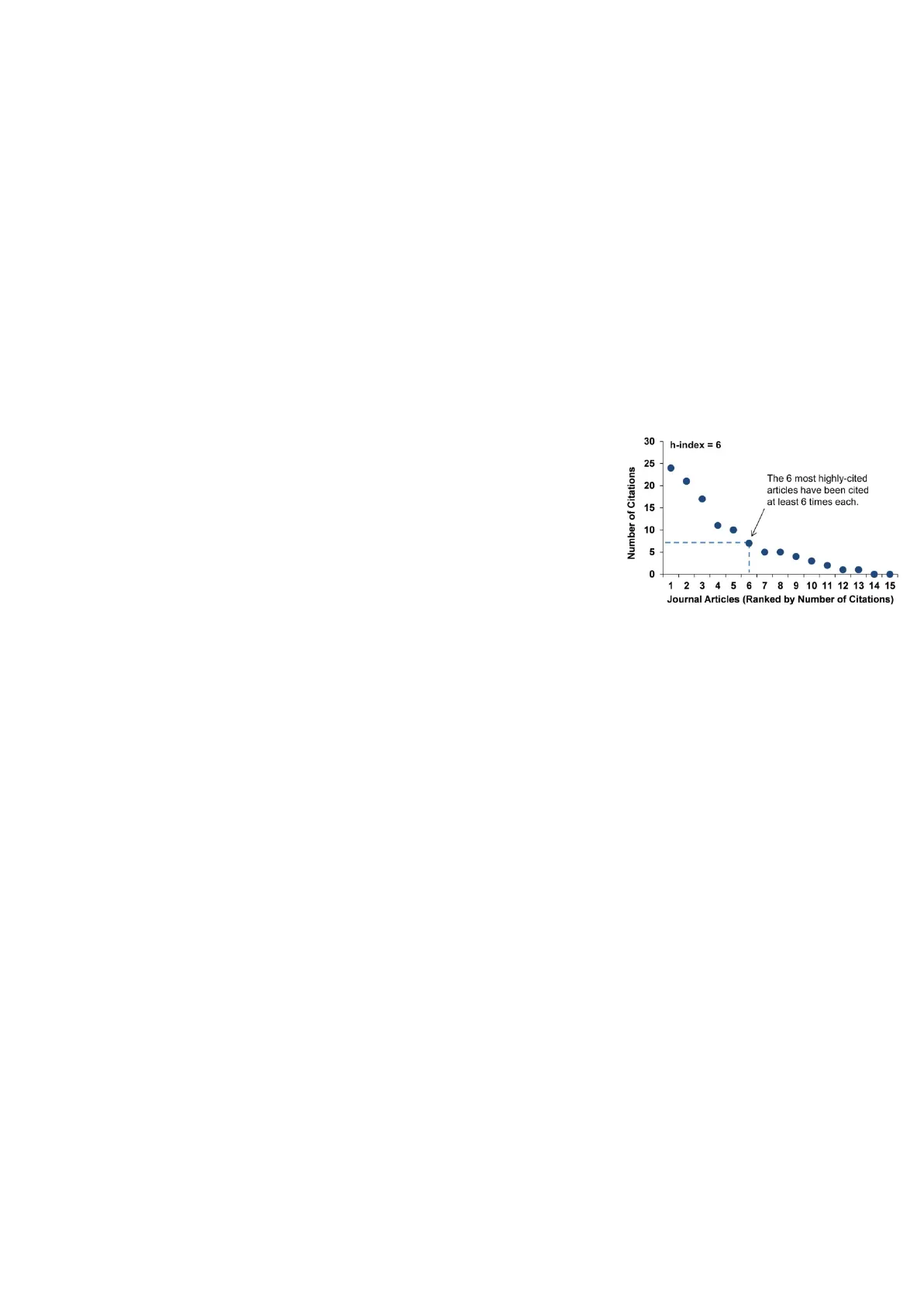
H index tells you if you're either a good or old scientist -> 30 h-index = 6 25 Number of Citations 20 The 6 most highly-cited articles have been cited at least 6 times each. 15 10 5 0 1 2 3 4 5 6 7 8 9 10 11 12 13 14 15 Journal Articles (Ranked by Number of Citations)
The structure of a paper:
The article text is followed by IMRAD format, which responds to this questions:
The main text is followed by: 5. CONCLUSION 6. ACKNOWLEDGMENTS(riconoscimenti) 7. REFERENCES 8. SUPPORTING MATERIALS
How to prepare a manuscript
Giorgia Pellicano - Laboratory of Cell Biology and Pathology 2023/24 29. Write the Acknowledgements. 10. Write up the References.
In vitro cell cultures are simplified and reproducible model system used for biological studies. They have a lot of applications: to test the effect of a drug, production of therapeutic proteins, used for tissue engineering, embryo culture, toxicity tests, production of vaccines, artificial meat .... In artificial meat, the muscle stem cells are isolated to create a primary culture of muscle stem cells, then we obtain the differentiation and the maturation of the muscle that can substitute the real meat.
Cell culture is the technique in which cells are removed from an organism(animal or plant) and placed in a favorable, controlled artificial environment. Under proper conditions, the cells can live and even proliferate. Dulbecco and Eagle set up the cell cultures that we use today. Cell cultures represent a revolution and a great breakthrough in research.
2D cell cultures Indeed, most of the advances in knowledge of contemporary biomedicine are based on these cell culture techniques. They couldn't however fully substitute in vivo studies on animals/humans.
- Vascularization: Limited The differences between 2D cell cultures and animal models: - >
3D cell cultures consist in putting cells in particular conditions, 3D cell cultures are easier to prepare but show several disadvantages.
2D cell cultures are more used and the advantages and disadvantages are :- Manipulation: Feasible
2D CELL CULTURES Advantages Disadvantages
In vitro cell cultures are divided into two types, both derived from normal tissues and cancerous tissues:
Giorgia Pellicano - Laboratory of Cell Biology and Pathology 2023/24 3 Animal models
When the cells have taken up all the space available for growth, contact inhibition occurs and they must be "subcultured" as a secondary culture or cell line to ensure cell growth.
Also Secondary cell cultures or cell lines are divided into:
> Non-adherent cell lines: grow in suspension(ex: cell lines derived from lymphomas, leukemias) Adherent cell lines: grow adherent to a substrate(flask, plate); they can have an epithelial, fibroblastic or neuronal morphology
Some commonly used cell lines: 3T3, HeLa, ...
Adherent cell lines -> Some examples of adherent cell lines are: Hela cells, 3T3 and 293. Hela cells are the first human cell line, tumor-derived cell line, obtained from cervical cancer patient Henrietta Lacks. The HeLA cells have 76 total chromosomes(instead of 46), some of which are heavily mutated, due to the Human Papillomavirus (HPV); also they have a p53 inhibition, thus inability to repair mutations and suppress tumors, that's why these cells are tumor cells; c-myc proto-oncogene constitutive expression, thus rapid replication; expression of an overactive telomerase that rebuilds telomeres after each division, preventing cellular aging and cellular senescence and allowing perpetual divisions of the cells (immortal cells). Hela cells have a lot of applications: therìy are used in cloning, virology, genetics, ...
Giorgia Pellicano - Laboratory of Cell Biology and Pathology 2023/24 4