Diapositivas sobre Metabolismo en Diferentes Esfuerzos. El Pdf, útil para estudiantes universitarios de Educación física, analiza las respuestas fisiológicas y el uso de reservas energéticas como fosfocreatina, ATP y glucógeno, incluyendo gráficos que ilustran las dinámicas de estas sustancias.
Ver más8 páginas


Visualiza gratis el PDF completo
Regístrate para acceder al documento completo y transformarlo con la IA.
¿CÓMO SE MIDE LA PARTICIPACIÓN DE LOS DIFERENTES SISTEMAS ENERGÉTICOS DURANTE EL EJERCICIO?
Solo el 40% de la energía liberada durante metabolismo se usa para producir ATP, el resto = calor.
Si puedo medir el CALOR producido, podré calcular la cantidad de energía producida > CALORIMETRÍA DIRECTA
En la degradación de CH, GyPparaformarATPse consume O2 y se produce CO2. Por ejemplo: en la degradación de glucosa mediante oxidación se consumen 6xO y se producen 6xCO 2
"Si puedo medir el O2 consumido y CO2 producido puedo estimar la energía (kcal) proporcionada por los sistemas oxidativos"
Se valora el intercambio gaseoso de O y CO durante fosforilación oxidativa. O2 2
Esta es la historia de "Pippo" ...
"Pippo Ganna" es uno de los mejores ciclistas del mundo, y se ha propuesto pasar por todos los tipos de esfuerzo físico, para que podamos descubrir los cambios metabólicos que se producen en el cuerpo humano, desde unos pocos segundos a varias horas.
Los primeros 15 segundos los completa a máxima intensidad, necesitando activar todas las fibras desde tipo I a IIX, y requiriendo mucho ATP/seg para generar mucha fuerza en los pedales.
Para ello necesita activar sobre todo los sistemas que no dependen del O2, ya que su cuerpo no tiene tiempo para poder hacerlo llegar a sus músculos.
Pippo, tiene que exprimirse al máximo, los 15 segundos son a tope. Sabemos que ese tiempo va a pasar por dos sistemas energéticos diferentes.
¿Qué está cambiando? Modificaciones fisiológicas durante estas duraciones de esfuerzo.
Mantener la la intensidad igual los 15 segundos es imposible, por los cambios que hemos visto. Así que esta se va perdiendo poco a poco, conforme se pasa de un sistema ATP/PCr, a un sistema glucolítico como forma principal de producir ATP.
7 - 25 pH Acidez: El pH se reduce como consecuencia de acumular H+, producidos por el sistema glucolítico. Esto crea sensaciones de fatiga elevadas.
4-5 mmol/L Lactato: El lactato va acumulándose poco a poco en sangre, debido a que cada vez participa más el sistema glucolítico.
PH 11 3 2 1 Blood lactate (mmolx 1-1) and speed of running 04+00- 22L sistema glucolítico. Esto crea sensaciones de fatiga elevadas. 10- 20 Acidez speed 9 -18 7.35 8 216 PH 7-14 4-5 mmol/L 6 E 12 7.30 lactate 5 310 CP Lactato 8 7.25 6 -0 H 4 ATP 2 7.20 0 warm-up 0 20 40 60 80 100 m distance of running 7.40 Muscle ATP and CP (mmol x kg-))
Con 15 seg cumplidos, el descenso de la PCr muscular en las fibras tipo IIX, va haciendo que pase a predominar el siguiente sistema que más rápido proporciona ATP (sist. Glucolítico) y que el sistema oxidativo ayude en mayor medida. Esto implica dos cosas: mucho lactato y acumulación de H+ elevada.
Con los 45 segundos de esfuerzo, ha dado tiempo a vaciar completamente las reservas de PCr, y cada vez se acumula más lactato en sangre por la participación del sistema glucolítico (que predominará).
¿Qué está cambiando? Modificaciones fisiológicas durante estas duraciones de esfuerzo.
Glucolítico, sí, pero ...
Aunque predomina el sistema glucolítico, la participación del sistema oxidativo aumenta aumenta poco a poco conforme pasan los segundos, ya que el cuerpo va introduciendo poco a poco más O2 necesario para producir ATP en la mitocondria.
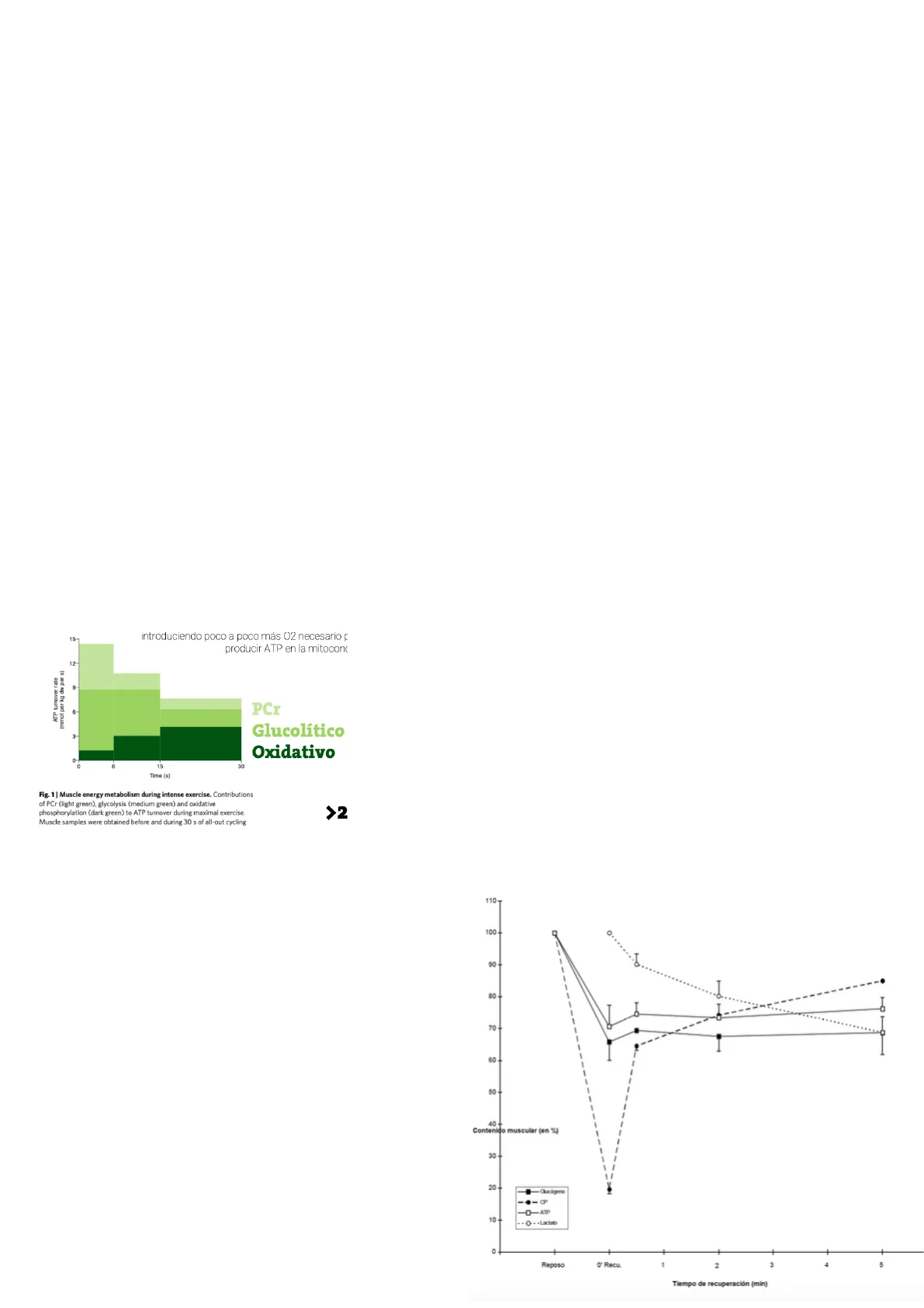
15 introduciendo poco a poco más 02 necesario p producir ATP en la mitoconc 12 ATP turnover rate (mmol per kg dw per s) 9- 6- PCr Glucolítico Oxidativo 0- C 15 30 Time (s) Fig. 1 | Muscle energy metabolism during intense exercise. Contributions of PCr (light green), glycolysis (medium green) and oxidative phosphorylation (dark green) to ATP turnover during maximal exercise. Muscle samples were obtained before and during 30 s of all-out cycling >2
Shuttles Lactato: Cuanto más O2 llegue a la mitocondria, más fácil es reutilizar el lactato, no obstante, tras un esfuerzo de este tipo, se pueden tardar más de 30 minutos en re- utilizar todo el lactato producido.
En la gráfica se muestra la recuperación tras un esfuerzo de 45 seg.
Fíjate como el Lactato en 5 minutos solo se re-utiliza un 30% desde que se para el ejercicio (recuperación pasiva).
110- 100 90 I 80 70- 60 50 40 Contenido muscular (en %) 30 20 #Glucógeno -0-ATP 10 - -O -- Lactato 0 Reposo 0' Recu. 1 2 3 4 5 Tiempo de recuperación (min)
Los deportistas más entrenados para estos esfuerzos son los que MÁS lactato y amonio pueden producir, ya que tienen más desarrollado el uso del sistema glucolítico y degradan más PCr (ver tema 2.2).
20 ₸ 275 +Lactato sanguineo alto nivel + 250 -O-Amoniaco plasmático alto nivel + 225 Concentración lactato sanguineo (mmol/l) 15 + 200 + 175 150 10 - 125 100 5 50 25 0 0 -5 0 5 10 15 20 25 30 35 Tiempo (segundos)
Efecto hipertrófico ...
Se ha sugerido que este tipo de esfuerzos son los que más estimulan la síntesis de proteínas y masa muscular.
El estrés metabólico producido por este tipo de esfuerzos causa un aumento de las hormonas GH, insulina y cortisol en plasma post esfuerzo.
Saturación del sistema adrenérgico
No dejar el suficiente descanso entre este tipo de esfuerzos podría saturar el sistema que se encarga de segregar las hormonas mencionadas, y por tanto, limitar las adaptaciones e incluso provocar sobre- entrenamiento.
El sistema adrenérgico es común a todos los músculos, así que da igual si vas alternando pecho y piernas, ambos días estás haciendo trabajar a tu sistema hormonal! Descansa de vez en cuando!
Si Pippo repitiese este tipo de esfuerzos es posible que el efecto anabólico de la testosterona, la GH (x17 respecto a lo normal) y el IGF favorezcan la hipertrofia muscular (ver tema 1.1). Para ello normalmente se buscan esfuerzos repetidos, grandes grupos musculares, con >60% RM, series que duren 30-60 seg y que modifiquen el equilibrio de la célula.
40 -90 SEGUNDOS
Un sprint de 45-90 seg es como uno de 30 seg, pero más duro! Sostener la participación del sistema glucolítico más de 1 minuto implica un grado de sufrimiento muy alto. De hecho, en la mayoría de personas, a partir de 1 minuto el ritmo/velocidad ha de bajar mucho, para que pueda predominar ya el sistema oxidativo.
7.06 pH: En estos esfuerzos se llega a niveles muy bajos de pH, debido a la producción acumulada de H+ al activar el sistema glucolítico. Esto es lo que más dificulta continuar con el esfuerzo. De hecho, normalmente obliga a tener que parar para recuperarse, y dar tiempo a normalizar el pH.
Hay varias claves al pasar los 45 seg ...
V Al hacer un esfuerzo de 90 seg la PCr se va reduciendo poco a poco, y se vacía del todo al final porque este tipo de esfuerzos suelen ser fuertes al inicio, regulando en medio, y apretando al final de nuevo Vaciar al final la PCr activará el ciclo de las purinas y hará descender el ATP muscular.
Muscle ATP and CP (mmol /kg) 22 ... 20 18 16 14 CP 12 10 8 6 4 -0 ATP 2 0 0 100 200 300 400 8 Distance of running (m) Recovery (min) · · - Lactato sanguíneo no alto nivel - C - Amoniaco plasmático no alto nivel Amoniaco en plasma (mmol/l) + 75
¿Qué está cambiando? Modificaciones fisiológicas durante estas duraciones de esfuerzo.
40-45 Min tiempo de recuperación: La recuperación completa tras este tipo de ejercicios puede durar hasta 40-45 min. De hecho eso tardaríamos en reutilizar el lactato (ver figura).
Y si midiésemos un SJ podríamos comprobar pérdidas de fuerza prolongadas hasta 15 min.
CTO ESPANA PISTA CUBIERTA.FINAL 400M. OM.C. semif 8.2.92 ·M.C. final 9.2.92 A.L. (mmo1. 1 -1 ) d e 5 10 15 20 25 30 35 40 45
Al inicio de este esfuerzo, predomina el sistema glucolítico, pero conforme avance el tiempo, entre los 60-90 segundos es muy probable que tu sistema oxidativo de CHO sea el que más energía esté produciendo, justo cuando el cuerpo es capaz de introducir altas cantidades de VO2 en el músculo.
Esto te permitirá seguir moviéndote, sino tendrías que parar por el descenso del pH hasta ~7.06 (=fatiga).
H Segregas Hormonas: Esta se acompaña de un aumento significativo de endorfinas y catecolaminas (epinefrina y norepinefrina).
Necesitas estas para aumentar la activación del SNC, sistema cardiovascular y el catabolismo.
Cuando un sprint de 30 seg (o cualquier otro esfuerzo) se repite, la utilización de los sistemas energéticos cambia debido a: 1) deplección de sustratos, 2) insuficiente descanso, 3): aumento del tiempo del esfuerzo o 4) Aumento de disponibilidad de O2.
¿Sabes por qué el lactato muscular es mayor al sanguíneo? ¿ Sabes por qué al acabar este esfuerzo el lactato en sangre va a subir aunque estés parado?
La explicación tiene que ver con los shuttles de lactato que vimos en el tema 2.0. Recuerda que el lactato sale a sangre cuando la célula la no puede reutilizar todo el lactato producido.
100 % Contribution O 200 400 600 800 Race Interval(m) Figure 2. Energy system contribution to 800-m track running. . male aerobic; [, male anaerobic; O, female aerobic; [], female anaerobic Oxygen Cost (ml kg"1"min"1) o8888 8 8 8 8 8 Oxygen Deficit Oxygen Uptake -VO2 peak 10 20 30 40 50 3.5 3.0 Thigh VO2 (L/min) 2.5 20. 1.5 1.0 0.5 0.0 -1 0 1 2 3 4 5 6 7 8 9 10 11 12 13 14 Time (min) ATP utilisation Glycolysis PCr utilisation