Documento di Anatomia Patologica sui tumori cerebrali. Il Pdf, un appunto universitario di Biologia, tratta l'introduzione al corso, le caratteristiche generali e la classificazione WHO dei tumori neuroepiteliali, utile per lo studio autonomo.
Mostra di più18 pagine


Visualizza gratis il Pdf completo
Registrati per accedere all’intero documento e trasformarlo con l’AI.
Pag. 1 a 17 Anatomia Patologica #1 - Biagio Eugenio Leone - Neuropatologia: tumori cerebrali, prima parte. Anatomia Patologica #1 Introduzione del corso e neuropatologia: i tumori cerebrali, prima parte. Prof. Biagio Eugenio Leone - 03/03/2021 - Autrice: Silvia Solari - Revisore: Cecilia Becci
I tumori cerebrali sono un campo super specialistico dell'anatomia patologica, sono quindi ben padroneggiati da pochi anatomopatologi, che si formano e lavorano negli ospedali con un centro di neurochirurgia (surgical pathology). Un patologo non specialista, si ritrova ad incontrarli solamente in ambito autoptico, che si sta facendo sempre più sporadico, quindi non rappresenta una particolare occasione di approfondimento delle proprie conoscenze in merito. Non si può dire lo stesso della patologia gastroenterica, perché tutti gli anatomopatologi durante il loro percorso formativo e lavorativo hanno modo di incontrarla e approfondirla.Anatomia Patologica #1 - Biagio Eugenio Leone - Neuropatologia: tumori cerebrali, prima parte. Pag. 2 a 17
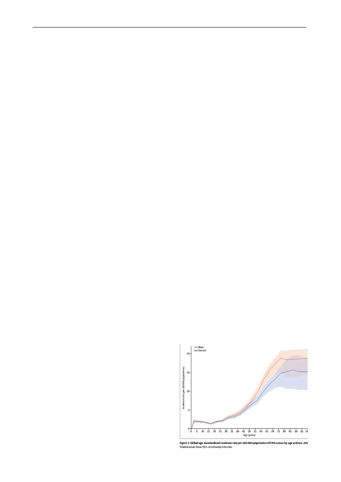
Nell'immagine a destra si può osservare una curva di incidenza divisa per fasce di età (al prof. le incidenze risultano un po' troppo alte). Si può Male -Female notare che esiste una certa incidenza anche nella 20- prima e nella seconda decade di età. Le curve diventano più ripide con l'aumentare dell'età. 15 Si raggiunge il picco massimo di incidenza attorno all'ottava-nona decade di vita, in cui si registrano anche tumori più aggressivi e mortiferi. Gli uomini sono più colpiti da questo tipo di tumori rispetto alle donne. In generale l'incidenza cumulativa dei tumori cerebrali varia nelle fasce d'età tra i 10 e i 15 casi ogni 100.000 abitanti. Incidence rate (per 100000 population) 10 5- 0- 0 5 10 15 20 25 30 35 40 45 50 55 60 65 70 75 80 85 90 95 10 Age (years) Figure 2: Global age-standardised incidence rate per 100 000 population of CNS cancer by age and sex, 201 Shaded areas show 95% uncertainty intervals.Anatomia Patologica #1 - Biagio Eugenio Leone - Neuropatologia: tumori cerebrali, prima parte. Pag. 3 a 17 Nell'immagine a destra si può osservare che dal 1995 al 2002, anche osservando le singole fasce di età, non si sono viste delle grandi variazioni di incidenza dei tumori cerebrali, nonostante le possibilità diagnostiche siano nettamente migliori. 14.00 12.00 European population standard rate 10.00 00-19 years 8.00 -20-39 years -40-59 years 6.00 -- 60 + years -- All 4.00 2.00 0.00 1995 1996 1997 1998 1999 2000 2001 2002 Fig. 1. Glioma incidence trend by age groups.
Si parla della correlazione tra la sede d'insorgenza e l'istotipo tumorale dei tumori intracranici, come il meningioma (tumore al di sopra delle meningi), e intracerebrali. Extracranial extension of meningioma Meningioma Pinealoma, dysgerminoma Gliomas (cerebrum): · Well differentiated astrocytoma · Anaplastic astrocytoma · Glioblastoma multiforme · Oligodendroglioma Astrocytoma (childhood) Hemangioblastoma (principally in adults) Craniopharyngioma Pituitary adenoma Medulloblastoma (vermis of cerebellum) Acoustic schwannoma (VIII cranial nerve) Pontine glioma (childhood) Ependymoma (fourth ventricle)